Радиовещание FM и AM в Гродно и не только

  • Автор
  • Сообщение
Не в сети
Аватара пользователя
Сообщения: 757
Зарегистрирован: 04 май 2009 05:48

Re: Радиовещание FM и AM в Гродно и не только

Сообщение eu4wnc »

eu4wnc писал(а):По последним сведениям запуск MUX-8 в Белостоке перенесен на 3 этап, который закончится в 1-ой половине 2017г. (до 1 июля 2017г.) официально из-за сложностей с монтированием антенн. Разрешение UKE на этот канал в Белостоке действует с 23.11.2016г.
C 31 января в Белостоке запущен MUX-8 с резервной антенной системы с мощностью 18,5 кВт ЭИМ в горизонтальной поляризации. Это вероятно временный вариант до перехода на основную антенну и заявленную мощность (24 кВт ЭИМ).
P.S. Высота подвеса этой резервной антенной системы- 171 м над землёй, что на 105 м ниже запланированного базового варианта. Замена антенны и увеличение мощности будет произведено в срок до 1 июля 2017г.
Последний раз редактировалось eu4wnc 21 фев 2017 14:21, всего редактировалось 1 раз.

Не в сети
Аватара пользователя
Site Admin
Сообщения: 782
Зарегистрирован: 03 май 2009 05:51
Откуда: KO13VQ
Контактная информация:

Re: Радиовещание FM и AM в Гродно и не только

Сообщение eu4ag »

eu4wnc писал(а):C 31 января в Белостоке запущен MUX-8 с резервной антенной системы

На свою балконную 7-ми элементную тв-антенну (470-862МГц, 6,5дБ) ДМВ диапазона 198,5 МГц не принимаю :-(
_________________
EU4AG

Не в сети
Аватара пользователя
Сообщения: 757
Зарегистрирован: 04 май 2009 05:48

Re: Радиовещание FM и AM в Гродно и не только

Сообщение eu4wnc »

Радиостанции по Гродно обновлено.
Вложения
радио гродно.jpg
Последний раз редактировалось eu4wnc 11 фев 2019 12:31, всего редактировалось 4 раза.

Не в сети
Аватара пользователя
Сообщения: 757
Зарегистрирован: 04 май 2009 05:48

Re: Радиовещание FM и AM в Гродно и не только

Сообщение eu4wnc »

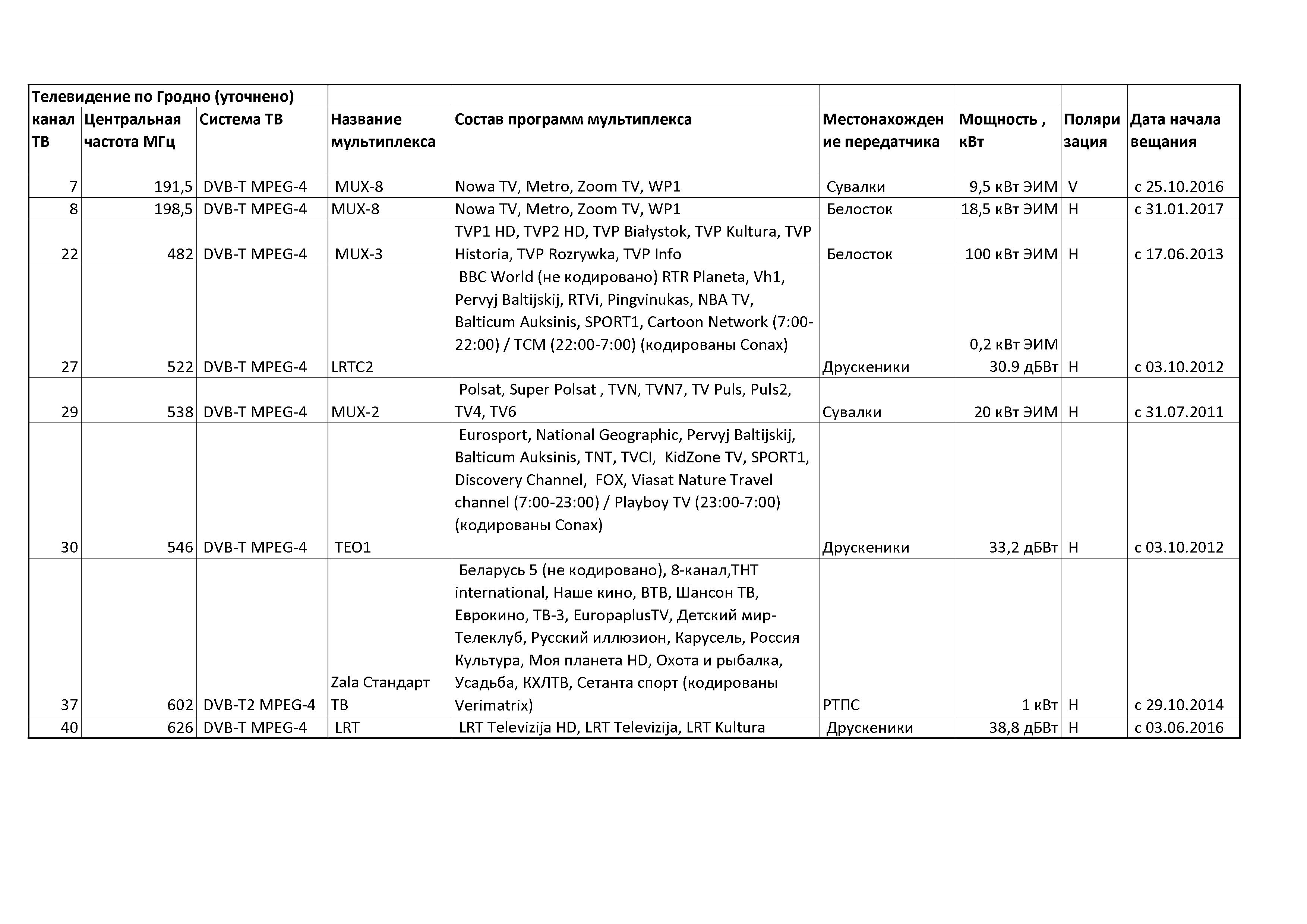
Телевидение по Гродно обновлено.
Вложения
tv grodno - 0001.jpg
tv grodno - 0002.jpg

Не в сети
Аватара пользователя
Сообщения: 757
Зарегистрирован: 04 май 2009 05:48

Re: Радиовещание FM и AM в Гродно и не только

Сообщение eu4wnc »

eu4wnc писал(а):По последним сведениям запуск MUX-8 в Белостоке перенесен на 3 этап, который закончится в 1-ой половине 2017г. (до 1 июля 2017г.) официально из-за сложностей с монтированием антенн. Разрешение UKE на этот канал в Белостоке действует с 23.11.2016г.
Выход на целевые параметры MUX-8 в Белостоке (24 кВт ЭИМ и высота антенны 276 м) вероятно уже осуществился с 26.04.2017г. т.к. с этого дня существенно возросла сила и качество сигнала, а так же изменились данные в списке актуальных параметров передачи.

Не в сети
Аватара пользователя
Сообщения: 318
Зарегистрирован: 13 мар 2011 14:25
Откуда: Гродно
Контактная информация:

Re: Радиовещание FM и AM в Гродно и не только

Сообщение EU4RK »

Радио Японии, 7:30-8:00 по местному времени, 6165кГц передатчик в Германии. Мощный сигнал, удобно послушать альтернативные новости пока собираешься на работу, погода в Токио, котировки йены и т.д.
частотное расписание https://www3.nhk.or.jp/nhkworld/resourc ... quency.pdf
_________________
73! Андрей EU4RK . . . . . . . . . . . . . . . . . . . .IC-701 . . . . . .IC-703 . . . . . .Карат-2 80m sintez edition . . . . . .Ангара-1 . . . . . .зоопарк qrp самоделок

Не в сети
Аватара пользователя
Сообщения: 1444
Зарегистрирован: 09 ноя 2009 17:34
Откуда: KO13WP

Re: Радиовещание FM и AM в Гродно и не только

Сообщение EW4VX »

EU4RK писал(а):Радио Японии...
Русская служба ЯпРад из Германи,надеюсь,па япосски не все фирштейн :nez-nayu:
Расписание радиовещания на КВ для андроид на гугель плей: https://play.google.com/store/apps/deta ... wave&hl=ru
Вложения
11.07.jpg
11.07.jpg (24.51 КБ) 41686 просмотров
_________________
EW4VX-Иван-73! ew4vxc@mail.ru / ew4vxc@gmail.com

Не в сети
Аватара пользователя
Сообщения: 757
Зарегистрирован: 04 май 2009 05:48

Re: Радиовещание FM и AM в Гродно

Сообщение eu4wnc »

eu4wnc писал(а):Очень интересно почитать DX-ПЕДИЦИЯ В ГРОДНО http://leryfm.livejournal.com/93818.html Оказывается надо немного дополнить список, приведённый выше.
А тут его же сайт с информацией по Минску http://radiopriem.net/index.html

Не в сети
Аватара пользователя
Сообщения: 757
Зарегистрирован: 04 май 2009 05:48

Re: Радиовещание FM и AM в Гродно и не только

Сообщение eu4wnc »

eu4wnc писал(а):Очень вовремя Радио Свобода 26 июня прекращает вещание на коротких волнах
Очень жаль, конечно. Что они там себе думают? На КВ в перспективе останутся только китайцы и арабы. А что делать тем, кто не имеет интернета, ни спутника, как послушать? Слушатели получили только издевательский совет слушать на СВ.
Что-же случилось через год вещания Свободы на СВ? А стало ещё хуже по приёму. С 21 апреля 2017г. вещание переехало из Ситкуная (Мачта 152 м, передатчик Шторм-С, 75 кВт) в Вешинтос (Мачта 120 м, передатчик Nautel NX200, работает на 75 кВт) и приём заметно ухудшился. Ситуация на сегодня с КВ/СВ передатчиками в Литве от Римантаса Плейкиса: " Передатчики в пределах Литвы никуда не переносились: Виршулишкес - Tesla SRV, 50 + 25 kW (612 kHz, ранее и 1107, 1557 kHz) - демонтированы; Ситкунай - Вихрь, 500 kW (666, 1386 kHz) демонтирован, Шторм-С, 75 + 75 kW (1386 kHz, ранее 612, 1557, 1107 kHz) - будет демонтирован; коротковолновый Continental Electronics 418F, 100 kW - будет продан или демонтирован; 7 мачт и 6 башен - будут демонтированы. Средневолновый передатчик Nautel NX-200 в Вешинтос на частоте 1386 kHz по заказу RFE/RL работает с пониженной мощностью 75 kW, мачтa 120 м, ранее работал на частоте 873 kHz, 150 kW, Weisskirchen, American Forces Network." Как обещала Свобода к концу 2017г. в Литву будет доставлен более мощный СВ передатчик. Поживём увидим, а пока стало хуже.

Не в сети
Аватара пользователя
Сообщения: 318
Зарегистрирован: 13 мар 2011 14:25
Откуда: Гродно
Контактная информация:

Re: Радиовещание FM и AM в Гродно и не только

Сообщение EU4RK »

eu4wnc писал(а):
eu4wnc писал(а):Очень вовремя Радио Свобода 26 июня прекращает вещание на коротких волнах
Очень жаль, конечно. Что они там себе думают? На КВ в перспективе останутся только китайцы и арабы. А что делать тем, кто не имеет интернета, ни спутника, как послушать? Слушатели получили только издевательский совет слушать на СВ.
Что-же случилось через год вещания Свободы на СВ? А стало ещё хуже по приёму. С 21 апреля 2017г. вещание переехало из Ситкуная (Мачта 152 м, передатчик Шторм-С, 75 кВт) в Вешинтос (Мачта 120 м, передатчик Nautel NX200, работает на 75 кВт) и приём заметно ухудшился. Ситуация на сегодня с КВ/СВ передатчиками в Литве от Римантаса Плейкиса: " Передатчики в пределах Литвы никуда не переносились: Виршулишкес - Tesla SRV, 50 + 25 kW (612 kHz, ранее и 1107, 1557 kHz) - демонтированы; Ситкунай - Вихрь, 500 kW (666, 1386 kHz) демонтирован, Шторм-С, 75 + 75 kW (1386 kHz, ранее 612, 1557, 1107 kHz) - будет демонтирован; коротковолновый Continental Electronics 418F, 100 kW - будет продан или демонтирован; 7 мачт и 6 башен - будут демонтированы. Средневолновый передатчик Nautel NX-200 в Вешинтос на частоте 1386 kHz по заказу RFE/RL работает с пониженной мощностью 75 kW, мачтa 120 м, ранее работал на частоте 873 kHz, 150 kW, Weisskirchen, American Forces Network." Как обещала Свобода к концу 2017г. в Литву будет доставлен более мощный СВ передатчик. Поживём увидим, а пока стало хуже.
В то же время Рад.Яп арендуют в Литве пару часов на 1386кГц... Не переживай Руслан :-): на хорошем(в плане произношения) русском еще много чего слышно - Румыния Инт., опять таки утром в 07.30 по местному пока собираешься на работу. Частоту забыл, но интересно только по понедельникам, когда идет историческая передача. В остальные дни будешь слушать как Романеску-Занавеску-Чапушеску-Позаранку- и другие -еску делят места в парламенте и подобный весьма нам интересный контент. Есть еще корейский KBS World в хорошем качестве.
_________________
73! Андрей EU4RK . . . . . . . . . . . . . . . . . . . .IC-701 . . . . . .IC-703 . . . . . .Карат-2 80m sintez edition . . . . . .Ангара-1 . . . . . .зоопарк qrp самоделок

Не в сети
Аватара пользователя
Сообщения: 757
Зарегистрирован: 04 май 2009 05:48

Re: Радиовещание FM и AM в Гродно и не только

Сообщение eu4wnc »

Тогда уже лучше Голос Кореи из Пхеньяна. Вторая после китайского радио радиостанция по объёму вещания на КВ на русском на сегодня. Мне субъективно нравится, особенно музыкальные программы. И кардинально альтернативную точку зрения послушать то же полезно. Время UTC:
07.30 - 08.27 9875, 11735
08.30 - 09.27 13760, 15245
14.30 - 16.27 9425, 12015
17.30 - 18.27 9425, 12015
Не смотря на то, что ретрансляторы за границей КНДР не используются, но слышно у нас вполне приемлемо даже передачи на Дальний Восток.

Не в сети
Аватара пользователя
Сообщения: 757
Зарегистрирован: 04 май 2009 05:48

Re: Радиовещание FM и AM в Гродно и не только

Сообщение eu4wnc »

eu4wnc писал(а):Уже были сообщения где-то с 1,5 года назад, а сейчас на самом деле приступили и от планов не отказались Нарвегія на наступным тыдні пачне адключаць FM-радыёвяшчанне, паведамляе ВВС
" Закрыццё FM-радыё пачнецца з паўночнага горада Будэ 11 студзеня. Да канца года ў Нарвегіі спыняць працу ўсе FM-радыёстанцыі. Такім чынам гэтая краіна стане першай, дзе FM цалкам спыніць працу», — гаворыцца ў паведамленні. На думку экспертаў, гэта дасць магчымасць укараніць лічбавую радыётрансляцыю, якая мае высокую дакладнасць прайгравання гуку і больш каналаў. У той жа час крытыкі такога кроку нарвежскага ўрада кажуць, што ён дачасны. Апытанне мясцовай газеты Dagbladet сцвярджае, што 66% нарвежцаў супраць адключэння FM. Найбольшай складанасцю для такога кроку з'яўляюцца аўтамабілі — паводле ацэнак, не менш за 2 млн аўтамабіляў у Нарвегіі не маюць лічбавых радыёпрыёмнікаў. Аўтамабілістам раяць набыць спецыяльныя адаптары, якія каштуюць каля 1500 нарвежскіх крон (170 даляраў). Пераход на лічбавую радыётрансляцыю азначае, што крыніцай радыёвяшчання стануць не аналагавыя платформы, як AM і FM, а лічбавыя. Для слухачоў гэта азначае, што ім спатрэбіцца спецыяльны прыёмнік, каб лавіць лічбавы сігнал. Акрамя таго, некаторыя радыёстанцыі вяшчаюць праз інтэрнэт. Акрамя Нарвегіі, над такім пераходам таксама разважаюць Швейцарыя, Данія і Вялікабрытанія."
Продолжение темы https://m.lenta.ru/news/2017/12/16/fmradio/
" Норвегия стала первым в мире государством, которое полностью отказалось от FM-радиовещания. Об этом сообщает The Local.
По информации издания, с 13 декабря 2017г. всё национальное аудиовещание в стране стало цифровым (DAB). Последними на этот стандарт были переведены северные регионы Норвегии и архипелаг Свальбард (Шпицберген) в Арктике. В то же время большинство местных радиостанций продолжает работу в прежнем формате.
Переход на цифровое вещание начался в январе. Как отмечается, формат DAB обеспечивает лучшее качество звука и предлагает больше каналов и функций. Кроме того, по оценкам властей, он обходится в восемь раз дешевле, чем FM-радио.
The Local пишет, что переход сопровождался недовольством жителей: они вынуждены покупать новые приемники или адаптеры. Согласно подсчетам, радио в новом формате могут слушать менее половины автолюбителей. Эксперты также указывают на то, что покрытие DAB на территории Норвегии недостаточное.
В ближайшие годы на цифровое радиовещание планирует перейти ряд европейских стран, в том числе Швейцария, Великобритания и Дания. "

Не в сети
Аватара пользователя
Сообщения: 757
Зарегистрирован: 04 май 2009 05:48

Re: Радиовещание FM и AM в Гродно и не только

Сообщение eu4wnc »

Урывак з кнігі лідскага краязнаўцы Леаніда Лаўрэша "Шэпт пажоўклых старонак" пра ролю радыё для лідчан у 1936-1939 г.г.
" Радыё
Радыё ў той час было яшчэ адным з галоўных тэхнічных цудаў. Мець у хаце лямпавы прыёмнік для большасці было недасяжнай марай.
Таннае дэтэктарнае радыё прымала толькі адносна блізкія станцыі, і чуць перадачы на ім можна было толькі ў слухаўкі. Танныя дэтэктарныя прыёмнікі ўжо мелі шырокі распаўсюд, напрыклад, віленская прэса ў 1937 г. пісала пра неабходнасць пабудовы новай радыёстанцыі ў Лідзе ці Баранавічах. «бо дэтэктарнын прыёмнікі, якія ў...павятовых гарадах ёсць у кожнай другой хаце, поўныя галасоў з Мінска і бальшавіцкай агітацыі». Самае таннае двухлямпавае радыё каштавала каля двух добрых месячных заробкаў на «Ардалі», прымала толькі галоўныя радыёстанцыі Еўропы і мела адносна моцны і добры гук праз дынамік. Напрыклад віленскія газеты рэкламавалі дастаткова простыя радыёпрымачы фірмы «Эха» коштам ад 170 да 270 злотых, самы танны лямпавы радыёапарат віленскага завода «Электрыт» каштаваў больш за 200 зл. Лепшыя мадэлі фірмаў «Філіпс» ці «Тэлефункен» каштавалі ў разы болей. Бліжэйшым радыёзаводам, дзе выраблялася шмат мадэляў радыёпрымачоў быў завод «Электрыт» у Вільні. Успамінаючы дзяцінства ў Лідзе, прафесар Ірэна Стасевіч - Ясюкова пісала пра свой дом: «У салоне стаяла радыё - падаецца мне, што знакамітай віленскай фірмы "Электрыт". Ці часта мы слухалі радыёперадачы? На жаль. не памятаю. Запомніла аднак у найдрабнейшых дэталях паведамленне па радыё, калі 1 верасня 1939 года было абвешчана аб пачатку II сусветнай вайны. Тым ранкам сядзелі бацькі ў салоне перад радыёапаратам, слухаючы перадачы найсвяжэйшых паведамленняў. Праз хвіліну тата сказаў: "Пачалася вайна з немцамі. Які будзе яе лёс - убачым. Мусіце быць спакойнымі і стрыманымі. У старостве я даведаюся, якія будуць далейшыя інструкцыі. Мама была стрымана знешне, што адчувала ў сэрцы, не ведаю. У доме распачаўся звычайны будні дзень. А адначасова закончыўся перыяд шчаслівага дзяцінства».Былая лідзянка Ярмант успамінала, як суседка некалькі разоў запрашала яе сям’ю праслухаць перадачу «Вечарынка» з Вільні: «Такія запрашэнні, для нас, людзей, якія не маюць радыё, станавіліся сапраўдным святам». Калі ж у яе сям'і з’явіўся радыёпрымач, дык гэта «значна ўзбагаціла наша штодзённае жыццё. 3 гэтай скрыні я пачула розныя чароўныя мелодыі. напрыклад, з аперэты ‘Вадзяная дзяўчына" (Русалка) і бегла да апарата, як толькі чула першыя акорды».Вось як пісаў пра стан радыёфікацыі ў нашым краі нейкі Ян Хапко: «Пад час сваіх вандровак заўважыў, што звычайна стан дэтэктарных апаратаў і ўсяго абсталявання знаходзіцца ў занядбанні. Апараты забруджаныя— антэны моцна правісаюць і часта на іх сушаць бялізну». Далей аўтар расказвае пра тое, як ён сам купіў радыё: «Выбралі двухлямпавы апарат...Вяртаемся ўвечары, узяўшы з сабой радыётэхніка. I хоць была зіма, адразу выкапалі дужую яму і ўладкавалі антэну. Праз гадзіну ўжо грала. Вандравалі па Еўропе да ночы».
Купіць радыё ў Лідзе можна было ў краме «Электрарад» па вуліцы Сувальскай,21. Здаралася рознае. Напрыклад, у красавіку 1938 г. жыхар Ліды Стэфан Валіцкі заявіў у паліцыю пра падман. І7 сакавіка ён праз гандлёвага агента Генрыка Брэйнака купіў у крэдыт радыёпрымач, пры гэтым як першы ўзнос заплаціў 70 злотых і дамовіўся выплачваць астатнюю суму 15 часткамі па 23,1 злотага кожны месяц. Але на пошце атрымаў дамову, у якой выплачваць патрэбна было 10-цю часткамі па 34,6 злотага што-месяц.
Што слухалі? Ужо на пачатку 1920-х гадоў польскія ўлады пачалі развіваць сетку вяшчальных радыёстанцый. У красавіку 1926 г.адбыўся першы эфір Польскага радыё з Варшавы. У 1927 г. было вырашана стварыць аддзяленне Польскага радыё ў Вільні. У тым жа годзе тут з’явіліся дзве радыёмачты. Віленская радыёстанцыя перш за ўсё прапаноўвала музычныя перадачы, найбольш папулярнай перадачай быў канцэрт па заяўках. Кожны ахвочы за 1 злоты мог замовіць любімую песню і пачуць яе ў эфіры. Хваля перадавала канцэрты Варшаўскай філармоніі. Шмат часу выдзялялася на трансляцыю камернай музыкі, у тым ліку з тэатра «Ла Скала» ў Мілане. Для шырокай аўдыторыі радыё ў Вільні рыхтавала перадачы «Гісторыя танцу», «Вячоркі ля мікрафона», «У музычным доме». У іх удзельнічалі між іншым музычныя ансамблі «Каскада» і «Уцеха» (якія спявалі на так званай «красовай пальшчызне» - польскай мове са значным уплывам іншых славянскіх моў). Пры гэтым для такіх перадач радыё заклікала да супрацы выканаўцаў народных песень, у тым ліку і беларускіх. Важнае месца займалі гумарыстычныя перадачы (напрыклад, «Віленская зязюля»). Не менш увагі надавалася і літаратурным творам, якія ў эфіры агучвалі дыктары радыё. Перш за ўсё тут гаворка ідзе пра перадачу «Несмяротныя кнігі». У сярэдзіне 1930-х гадоў віленскае радыё пачынае трансліраваць перадачы кшталту «Тэатру ля мікрафона», у якіх рабіўся ўхіл на гістарычную тэматыку. Гісторыя была ключавой тэмай для многіх перадач радыё, асабліва гэта назіраецца ў канцы 1930-х гг., калі II Рэч Паспалітая знаходзілася на парозе вайны. Дарэчы, на віленскім радыё ў тыя часы працаваў будучы нобелеўскі лаўрэат Чэслаў Мілаш.
У праграме вяшчання віленскай радыёстанцыі кожны тыдзень была праграма з Ліды. А 16 красавіка 1939г. адразу некалькі радыёстанцый трансліравалі рэпартаж з Ліды аб святкаванні 20-х угодкаў вызвалення горада ад бальшавікоў: «Урачыстасць была вельмі ўзвышанай і перадавалася праз радыёстанцыі на ўвесь край. Пасля трансляцыі выступу ваеннага аркестра з залы Купецкай гімназіі піяраў дырэктар гэтай гімназіі выступіў з лекцыяй аб гісторыі лідскага ордэна піяраў. Потым зноў выступаў вайсковы аркестр і вясковая капэла, потым ішлі выступы і справаздачы на тэму сучаснага жыцця і будучыні Ліды». Перадача пачалася ў 9.15 і скончылася ў 11.45.
У 1937 г. у Баранавічах распачалося будаўніцтва і мантаванне абсталявання для радыёстанцыі. Хутка тут былі пабудаваны дзве мачты, ад 1 ліпеня 1938 г. пачалося вяшчанне. Сярод праграм баранавіцкага радыё вылучаліся «Сельскагаспадарчыя навіны», падчас якіх вядучыя падрабязна разглядалі падзеі ў гэтай сферы на тэрыторыі трох заходнебеларускіх ваяводстваў. Цікавымі былі перадачы з серыі «Нашы вёскі і мястэчкі»,у якіх расказвалася гісторыя розных населеных пунктаў Заходняй Беларусі і Заходняй Украіны. Для моладзі рабіліся прыродазнаўчыя перадачы. Ад свайго бацькі ведаю, што заходнія беларусы з цікавасцю слухалі радыё з Мінска на роднай мове. У горадзе было 8 радыёаматараў. Яны мелі прыватныя аматарскія радыёстанцыі і падтрымлівалі сувязь з радыёаматарамі ўсяго свету. Гэтае хобі патрабавала добрых заробкаў, але лічылася прэстыжным і рамантычным."

Не в сети
Аватара пользователя
Сообщения: 11
Зарегистрирован: 21 фев 2013 09:37

Re: Радиовещание FM и AM в Гродно и не только

Сообщение EW6CU »

Вельмi цiкава i пазнавальна. Дзякуй. Як было у нас у тыя ж часы, можам здагадацца i параунаць

Не в сети
Аватара пользователя
Сообщения: 694
Зарегистрирован: 03 май 2009 05:54
Откуда: LO88EC ПЕРМЬ

Re: Радиовещание FM и AM в Гродно и не только

Сообщение EW6O »

Ну Руслан, - СПАСИБО !!! интересно было узнать о предвоенном радио :co_ol: :co_ol: :co_ol:
_________________
АЛЕКСАНДР
EW6O
ex : EU4AI, EW6CT, UC2WEQ

Не в сети
Аватара пользователя
Сообщения: 757
Зарегистрирован: 04 май 2009 05:48

Re: Радиовещание FM и AM в Гродно и не только

Сообщение eu4wnc »

EW6CU писал(а):Вельмi цiкава i пазнавальна. Дзякуй. Як было у нас у тыя ж часы, можам здагадацца i параунаць
Няма чаго здагадвацца, можна пачытаць далей у гэтай жа кнізе Леаніда Лаўрэша "Шэпт пажоўклых старонак" артыкул з віленскай газеты "Беларуская крыніца" № 25(618) ад 9 чэрвеня 1935г. Аказваецца сітуацыя з беларускай мовай на радыё за 70 гадоў мала змянілася.
"На хвалі 1442 мэтры
Мотто: Зараз мы пераключаемся на Маскву, стуль слухайце перадачу для дзяцей.
3 цікавасьцяй беларусы Зах. Беларусі слухаюць Менскай радыёстанцыі.
Ня маючы ніякіх іншых магчымасьцяў чуць аб жыцьці ў Савецкай Беларусі, трэба задаволіцца гэтым радыё-інформатарам.- Прэса з Саветаў да нас не даходзіць, дастаць экзэмпляр «Чырвонае Зьмены» ці якога-колечы «Калгасьніка Беларусі» могуць толькі адзінкі. Без пасярэднага культурнага кантакту мы з Савецкай Беларусяй ня маем.
Кітайскі мур, дзелячы абедзьве часткі нашае краіны, выключае магчымасьці культурных зносінаў. Розныя экскурсыі, якія адбываліся ў СССР з Польшчы і якія дагэтуль пропагандуюцца, ахаплялі гандлёвыя, літарацкія і іншыя слаі польскага грамадзянства і кіраваліся ў буйнейшыя цэнтры СССР.
Савецкая Беларусь ня была прадметам досьледаў і дзеля гэтага мы ў Зах.Беларусі ня зусім добра ведаем аб сапраўдным жыцьці Беларусаў у Сав. Беларусі. Радыёфонія ёсьць адзіным рэхам, якое адбівае нам тамашняе жыцьцё.
Дык вось - увага! Гаворыць Менск, радыёстанцыя імяні «Совнаркому БССР» на хвалі 1442 мэтры.
Наўперад трэба спыніцца на мове, якая даходзіць да нас з Менску на хвалях этэру. Язык, каторым паслугоўваюцца, - беларускі.зрэформаваны дэкрэтам Рады Народкых Камісараў БССР 28 жніўня 1933 году. Гэтая рэформа ёсьць першым этапам да эвалюцыйнага пераходу на мову расейскую.
Беларуская Акадэмічная Конфэрэнцыя ў 1926 годзе імкнулася да рэформы беларускага правапісу і граматыкі ў сэнсе чысьціні языка і ўнезалежненьня яго ад чужых уплываў, - дэкрэт «Савнаркому» скасаваў усю гэную працу. Бальшавіцкая рэформа беларускага языка гэта ўдар па беларускай культуры ў цэлым з мэтаю загнаць яе ў агульнарасейскую. Слухаючы менскага радыё, атрымліваем ўражаньне, што беларуская мова ў Сав. Беларусі - гэта нешта непажаданае, але дзеля тактычных прычынаў займаючае нейкае месца. Напрыклад: перадаецца музыкальная загадка, некалькі твораў на піанін, .альбо на іншых інструмантах: прапануецца слухачом адгадаць, хто напісаў гэныя творы, як яны называюцца і г.д.
Таварыш, каторы робіць перадачу, зварочваецца гэтак: - «Ребята, вазьмеце карандаш і паперу і запісвайце»-Другім разам чуеце йнакш: -«Ребята, вазьмеце аловік і бумагу і запісвайце» - Гэта не анэгдот, а сапраўднасьць!
Далей, перадаюцца мэтэоролёгічныя ведамасьці, варта таксама паслухаць. - «Бачность добрая. умеренные ветры, по Мінску чакается» і гд. У мэлёдыі языка, у словах. ва ўсім адчуваецца узброена, ужо нават незаконспіраваная, маскоўшчына.
У начы адбываюцца пераклічкі - гэта рэвізія розных урадавых устаноў. Менск выклікае Магілёў, Оршу і іншыя месты; пачаўшы гутарку, напрыклад.з Магілёвам, загадвае іншым падрыхтавацца да справаздачы. Гутарка йдзе у даным выпадку, аб школьных справах. Начальнік з Менску пытае, ці прыбылі падручнікі для пачаткавых школ на наступны школьны год; ці колькасьць іх ёсьць задавальняючай.
-Таварыш Гусеў, пытаюся ці атрымалі вы падручнікі? - У адказ даносіцца: Я? - Пытаньне паўтараецца. 3 Магілёва адказвае працяглым: «Что?» - Ці атрымалі вы падручнікі? - Магілёў безнадзейна маўчыць. На начальніка з Менску находзіць праясьненьне: «Ці атрымалі вы учебнікі?».I вось «зав» з Магілёва зразумеў, без тэлевізыі можна ўгледзіць шырокую ўсьмешку здаволеньня на ягоным твары і плаўна, без перапынкаў, пачынае рэфэраваць аб палажэньні на мясцох на ўсіх галінах школьнае справы, зразумела, на «обшепонятном языке» - па-руску. Адным словам буйнае разьвіцьце беларускае культуры, нацыянальнае па форме і соцыялістычнай зьместам!
Цяпер прыгледзімся да праграмы перадач і спрабуем выбраць усё тое, што вядзецца ў беларускай мове.
Апошнія паведамленьні, - лекцыі ў дапамогу самаадукацыі, завочныя курсы партвучобы і часам перадачы для дзяцей. I, здаецца, гэта ўсё, далей гэтага беларуская мова несягае.
Чым-жа напаўняюцца праграмы беларускай радыёстанцыі? Яны напаўняюцца трансмісіяй з Масквы, альбо перадачамі ў польскай і жыдоўскай мовах.Трансмісіі з Масквы - гэта той дзейнік, які мае на мэце стрымліваць «надмер» беларускіх аўдыцыяў і недаваць слухачом ілюзыі нейкай самастойнасьці менскага радыёфону. Менск - гэта маскоўскі «совхоз», толькі ў вялікім маштабе і каб аб гэтым не забываліся, каб вуха слухача ня надта прывыкала да гукаў беларускага языка, што дзьве гадзіны менскія батракі павінны «пераключацца» на Маскву і стуль слухаць то, што ў Маскве лічаць патрэбным запродукаваць. Каб надаць інтэрнацыякальны характар менскім перадача, вядуцца радыёмонтажы, дзіцячыя перадачы і інш. у польскай мове.
Праўду кажучы, рахітычныя аўдыцыі, жабрацкія галасы, марная польшчына, але часу займаюць шмат - нацдэмам на злосьць, а Домбалям на пацеху. Наступна ідуць аўдыцыі ў «яўрэйскай» мове, мо найкарысьнейшыя з усіх, бо знаёмяць, часам, з творамі беларускіх паэтаў і пісьменьнікаў: Купалы, Коласа і інш„ але заганаю ёсьць - доўгая праца, каб навучыцца жыдоўскае мовы, каб праз радыё са сталіцы Сав. Беларусі пачуць і зразумець нешта з беларускай літаратуры. Нарэшце дадамо, што перадаюцца яшчэ апошнія паведамленьні ў латыскай і літоўскай мовах. Словам, цэлы скарб для поліглёта.
Калі пачнем дашуквацца беларускага элэмэнту ў беларускіх перадачах, дык апрача афіцыяльнай бальшавіцкай, ці гэта партыйнай, ці ўрадавай, славеснасьці нічога больш ня знойдзем. Усюды на першым месцы расейшчына.
Аўдыцыі для дзяцей, калі перадае Менск (часьцей трансмісіі з Масквы), складаюцца з твораў расейскіх клясыкаў, толькі ў змодэрнізаванай, прытарнаванай да расейскага вуха, беларускай мове. Напрыклад: «Як пасварыліся Іван Іванавіч з Іванам Нікіфаравічам» паводле Гоголя, альбо апавяданьні Чэхава (найбольш дробнабуржуазнага з усіх расейскіх пісьменьнікаў).
Расейская мяшчанская літаратура дарэволюцыйнае пары, з гледзішча кіраўніцтва беларускага радые, не зьмяшчае ў сабе мамэнтаў расейскага вялікадзяржаўніцтва і не прадстаўляе небясьпекі для соцыялістычнага будаўніцтва, у той час, як уся беларуская літаратура старэйшай эпохі, адраджэнская і сучасных пісьменькікаў, створаная перад іх пакаяньнем, у мікрафон не дапускаецца.
Ці гэта не парадокс, што ў Савецкай Беларусі Антон Чэхов зьяўляецца больш за Багушэвіча нацыянальным па форме і соцыялістычным па зьместу?!
Неяк раз удалося пачуць на хвалі 1442 мэтры разучваньне песьні на словы Якуба Коласа, але твор гэты апошняга выданьня завецца «Чэлюскінцы».
3 «беларускіх» аўтараў перадаваліся яшчэ творы маладога паэты Броўкі, вельмі таленавітага, але тэматыкай нават рэгіональна ня зьвязанай ні з чым беларускім. Паэмы ягоныя прысьвечаны баём пад ГІеракопам, разгрому Врангеля, геройскім дзеяньням коньніцы Будзённага. Беларуская літаратура траціць у гэтым паэце вельмі яркі талент, ня дзеля таго, што ён належыць да пралетарскага кірунку, а таму, што творчасьць ягоная, апанаваная расейскім зьместам, служыць умацоўваньню маскоўскае акупацыі Беларусі, па-савецку выражаючыся, служыць цёмным сілам, згуртаваным навакол Ц. К. партыі і яе «геніяльнага павадыра таварыша Сталіна».
Пераходзячы да канцэртнае часткі праграмаў радыёстанцыі імяні Савнаркому БССР, т рэба адзначыць, што яна таксама дае яркі абраз стрымліваньня разьвіцьця беларускай культуры пад Саветамі.
Каго цікавіць беларуская песьня, няхай шукае яе па загранічкых радыёстанцыях, бо Менск яе ўважае за праяву мясцовага нацыяналізму, - з Менску беларуская песьня амаль цалком выкінута. Яна пайшла на эміграцыю. Прыпадкова можна пачуць беларускую песьню з Прагі, Коўна, з Рыгі, але не са сталіцы Савецкае Беларусі, Менскія канцэрты – адпачынкі, какцэрты для калгасьнікаў - даюць Рахманінава, Рымскага-Корсакава, Чайковскага і Мусоргскага – усе арыі, натуральна, на мове «рускай ». Па -беларуску нічога - літаральна! Розныя камсамольскія песьн,. пешыя, конныя, калгасныя на языку Леніна-Сталіна - па-расейску.
Характэрна, што песьні Шумана выконваюцца па-расейску; відаць, цяпер на трэцім годзе другой пяцігодкі, няма ўжо каму займацца перакладамі з нямецкага на беларускі, бо ж нацдэмы будуюць беламорска-балтыцкі канал, а «акадэмікі» тыпу Горына маюць больш паважныя заданьні ў усесаюзным машгабе.
Цікаўна, што нацыянальная палітыка ВКПБ у адносінах да іншых народаў больш толерантная. Радыёстанцыя ў Сімфэропалі амаль штодня перадае татарскія нацыянальныя канцэрты ў выкананьні хору і солістаў. Беларуская песьня сваёй арыгінальнасьцяй і хараством здолела-б захапіць слухачоў далёка за межамі Беларусі. Продукцыі беларускага хору заняліб у агульна-эўропэйскай радыёаўдыторыі пачэснае месца і былі-б напэўна ня менш папулярнымі,чымся канцэрты цыганскай капэльлі з Будапэшту.
♦ ♦ ♦
Нашыя спасьцярогі адносна менскага радыёфону - гэта толькі канва на каторай што-раз ярчэй выступае абраз узаемаадносінаў і антаганізмаў паміж партыяй і ўрадам з аднаго боку і працоўкымі масамі Савецкай Беларусі з другога.
Адносіны гэтых апошніх да ўраду найтачней можна адзначыць назовам пасыўнага апору. Пасьля разгрому найбольш усьвядомленай часткі сялянства і пролетарскай інтэлігенцыі, барацьба з камуністычнымі душыцелямі беларускага народу перайшла ў больш асьцярожныя, каб ня кідаліся ў вочы, формы. Калі ў «ведамсьцьвенных інформацыях» Менск паведамляе аб наяўнасьці калгасаў, на грунце каторых назіраецца апор проціў новага правапісу, дык у гэтым толькі сьляпы ня ўгледзіць, што працоўныя масы Сав. Беларусі нацыянальна дасьпелі і ня гледзячы на тое, што пазбаўлены духовых павадыроў, якія сасланы ў савецкія катаргі, ня хочуць ісьці на павадку «інтэрнацыянальных» грабароў беларускае народнае думкі.
А хто прыслухоўваўся да паседжаньняў зьезду пісьменьнікаў Савецкай Беларусі ў Менску (перад усесаюзным кангрэсам пісьменьнікаў у Маскве), на каторых абнаглеўшыя маскалі брутальна дыктавалі корыфеям беларускага слова заданьні і кірунак творчасьці, той хіба што ня будзе мець ніякіх ілюзіяў што да ўзаемаадносінаў пад уладай Саветаў.
Таксама праслухаўшы інформацыю Беларускага Дзяржаўнага Унівэрсытэту (перадавалася 9.У.с.г.) аб прыйме 90 слухачоў на рабфак, з каторых 30 чалавек на польскае аддзяленьне і 30 на яўрэйскае, можна мець зусім конкрэтнае прадстаўленьне аб мэтодах стрымліваньня працэсу нарастаньня беларускае інтэлігенцыі, роўналегла з фарсоўным разьвіцьцём інтэлігенцыі нацыянальных меншасьцяў у Сав. Беларусі.
Той матар’ял, які нам дае радыёстанцыя імяні Совнаркому БССР, ярка сьведчыць аб пасьлядоўнай акцыі заціраньня сьлядоў беларускай самабытнасьці і аб паступовай інкорпорацыі ўсяго беларускага ў агульнарасейскі культурна нацыянальны савецкі арганізм. Гэта акцыя адбываецца зусім адкрыта. Прытарнаваўшы беларускую мову да вымогаў расейскай граматыкі, бальшавіцкія рэформатары, на далейшым этапе даводзяць беларускі язык да ўзроўня нейкага правінцыяльнага фольклёру, адначасна перагружаючы ўсе галіны жыцьця цяжкім балястам расейшчыны.
У гэтым рэпортажы, які датыча выключна радыёвяшчаньня, падчырківаем значэньне сталых трансмісіяў з Масквы, каторыя, перагружаючы праграму, убіваюць у галовы слухачоў расейскія словы, мэлёдыі і інш.
Няма сумліву, што на нявырабленага слухача, пазбаўленага сваёй музыкі і сьпеву, цэлыя цэбры расейскага сьпеву, гутаркі (з маскоўскае станцыі імяні Комінгэрну), на чале з разухабістымі частушкамі ў выкананьні заслужанае артысткі рэспублікі Ольгі Ковалевай (- Уморилась, уморилась, уморилася! -), разам з букетам усялякіх адрыўкаў з «Князя Игоря» альбо «Хованшчыны», перадаваных з Менску і яшчэ на фоне разбураньня асноў беларускага языка наагул, мае вялізарны дэзорыентацыйны ўплыў. Дзеля паўнаты характарыстыкі менскіх праграмаў радыёвешчаньня, не адрэчы будзе дадаць, што творы клясыкаў эўрапэйскай музыкі, прыкладам Пуччіні, Вэрді і іншых, тамака цалком ігнаруюцца - відавочна, таксама, з мэтаю засугэраваць слухача, выключна, творамі расейскіх маэстро.
На заканчэньне сьмеем выказаць сваё перакананьне, што маскоўскае ахвосьце на Савецкай Беларусі сваіх плянаў, у сэнсе асыміляцыі беларускага народу, не зрэалізуе - адпорнасьць працоўных мае і зьменнасьць палітычнае коньюнктуры стаіць гэтаму наперашкодзе.
I таму перадчасным выдаецца награджэньне таварышоў Галадзеда і Гікалы ордэнам Леніна за выкарчоўваньне контррэвалюцыйнай нацдэмаўшчыны.
А.Бужанскі"

Не в сети
Аватара пользователя
Сообщения: 11
Зарегистрирован: 21 фев 2013 09:37

Re: Радиовещание FM и AM в Гродно и не только

Сообщение EW6CU »

Файна! I дзякуй за спасылку кнiгi. Такое ураджанне, што гэта друкавалась зараз, у нашыя часы. Нiчога не змянiлася -стала толькi горш. Адно, што у молодзi гены можа прачнуцца. I з инфармацыйнай прасторай так сама усё зразумела у Беларусi. Раней хоть габрэйская-эрзацбеларуская i польская мелi уласную частку у радыёпрасторы, а зараз вы нiчога, акрамя мовы усходняга суседа, ня чуеце. Прыкла.Так што гiбрыднае уздзеянне вялося ужо здауна i пануе сёння. I развiцця няма. Каб не смяялiся з нас, трэба абараняць i мацаваць сваё, а не суседскае. Пажадана i разумець усiх, захаваушы сваё. Ня трэба подлажвацца -мы у Беларусi. Ether нам дапаможа 73! EW6M

Не в сети
Аватара пользователя
Сообщения: 757
Зарегистрирован: 04 май 2009 05:48

Re: Радиовещание FM и AM в Гродно и не только

Сообщение eu4wnc »

С 29 на 30 марта 2018 года Белтелерадиокомпания, известная под брендом «БТ», начинает перевод своих телеканалов на вещание в HD-формате.
«Сейчас заканчивается тестирование закупленного и установленного оборудования для перехода на формат высокой четкости, и в ночь с четверга на пятницу будет осуществлена перекоммутация... Первыми картинку в формате высокой четкости увидят абоненты кабельных операторов и IP-TV Минска и Минской области. Работа по переходу на HD будет вестись постепенно, и до ноября текущего года планируется предоставить возможность принимать сигнал в новом формате по всей стране», — сообщили в телекомпании. Как обещается, в новом формате 30 марта в 6.00 выйдет программа «Добрай раніцы, Беларусь!». Постепенно на этот уровень перейдут все проекты «БТ». Просмотр HD-контента в ближайшее время будет доступен также и на официальном сайте Белтелерадиокомпании. http://tvnews.by/tb/12519-telekanaly-be ... d-169.html

Не в сети
Аватара пользователя
Сообщения: 757
Зарегистрирован: 04 май 2009 05:48

Re: Радиовещание FM и AM в Гродно и не только

Сообщение eu4wnc »

Яшчэ вяртаючыся да гісторыі
eu4wnc писал(а): Бліжэйшым радыёзаводам, дзе выраблялася шмат мадэляў радыёпрымачоў быў завод «Электрыт» у Вільні.
Такі цікавы факт, атрымліваецца, што гэты завод "Электрыт" з'яўляецца папярэднікам мінскага "Гарызонта". Як так атрымалася можна прачытаць вось тут http://novychas.by/poviaz/historyja_adn ... nda_eliekt або тут https://www.sb.by/articles/ot-elektrita ... zonta.html

Не в сети
Аватара пользователя
Сообщения: 757
Зарегистрирован: 04 май 2009 05:48

Re: Радиовещание FM и AM в Гродно и не только

Сообщение eu4wnc »

C 7 июня 2018 канал TVP Rozrywka в пакете MUX-3 заменён на канал TVP Sport. Но, по некоторым сведениям, TVP Sport останется на MUX-3 только до конца чемпионата мира по футболу, до 15 июля.

Не в сети
Аватара пользователя
Сообщения: 757
Зарегистрирован: 04 май 2009 05:48

Re: Радиовещание FM и AM в Гродно и не только

Сообщение eu4wnc »

C 18 сентября 2018 на 90,4 МГц в Гродно появилась новая радиостанция Центр FM https://www.kp.by/daily/26882/3926433/

Не в сети
Аватара пользователя
Сообщения: 757
Зарегистрирован: 04 май 2009 05:48

Re: Радиовещание FM и AM в Гродно и не только

Сообщение eu4wnc »

Чисто случайно вчера обнаружилось, а пакет на 51 канале ТВ DVB-T2 (Зала Всё включено) в Гродно уже не кодируется, т.е. в открытом доступе. Интересно это рекламная акция или технические неполадки :-)

Не в сети
Аватара пользователя
Сообщения: 318
Зарегистрирован: 13 мар 2011 14:25
Откуда: Гродно
Контактная информация:

Re: Радиовещание FM и AM в Гродно и не только

Сообщение EU4RK »

eu4wnc писал(а):Чисто случайно вчера обнаружилось, а пакет на 51 канале ТВ DVB-T2 (Зала Всё включено) в Гродно уже не кодируется, т.е. в открытом доступе. Интересно это рекламная акция или технические неполадки :-)
проверь еще раз :-):
_________________
73! Андрей EU4RK . . . . . . . . . . . . . . . . . . . .IC-701 . . . . . .IC-703 . . . . . .Карат-2 80m sintez edition . . . . . .Ангара-1 . . . . . .зоопарк qrp самоделок

Не в сети
Аватара пользователя
Сообщения: 757
Зарегистрирован: 04 май 2009 05:48

Re: Радиовещание FM и AM в Гродно и не только

Сообщение eu4wnc »

Проверял. Сейчас вроде закодировано, но однозначно определенный период не кодировалось. Не один я заметил :-)

Не в сети
Аватара пользователя
Сообщения: 757
Зарегистрирован: 04 май 2009 05:48

Re: Радиовещание FM и AM в Гродно и не только

Сообщение eu4wnc »

Ответить